自修复聚合物的出现,有效延长了塑料制品的使用寿命,还在一定程度上减少了资源的浪费。一般而言,热固性材料的自修复过程可分为两个阶段:(1)材料在损伤表面实现接触;(2)通过固化等反应实现修复。常见的自修复可以分为两类:外植型和本征型。外植型自修复聚合物,其修复剂在损伤出现后可以迅速流动到损伤处并实现固化,但由于粘接力、机械强度的不同或特定环境下持续的损伤,修复后的材料性质无法交联材料相比。而本征型自修复聚合物则可实现由交联到流动的转变从而进行修复,其中往往需要一定的外界刺激如加热、氧化/还原、pH等,光修复体系由于更环保可控程度更高而受到越来越多的关注。

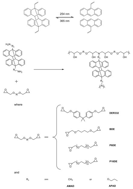
近日,澳大利亚蒙纳士大学的George P. Simon和Kei Saito通过引入光可逆二聚作用,使环氧聚合物实现从硬交联结构到可流动状态的转变,这有利于损伤的修复以及交联结构的再固化。该研究先合成了带有蒽和胺基结构的化合物,后利用蒽结构的[4+4]环加成得到二胺化合物,最后通过该二胺化合物与商用环氧进行固化得到交联结构。由于光可逆环加成的作用,可通过紫外光对该交联结构进行性能的调节,如玻璃化转变温度Tg的可控调节、聚合物网络的解交联及再交联、机械性能的调控等等。利用红外、紫外、DSC、GPC、NMR及其自修复的机理等进行了较为详细的研究,相关成果以题目为“Light-Healable Epoxy Polymer Networks via Anthracene Dimer Scission of Diamine Crosslinker”的研究论文发表在《ACS Applied Materials & Interfaces》上。
【图文解析】
图1 光可逆环加成作用及其交联网络合成示意图

表1 光照前后的玻璃化转变温度的比较
四种交联网络经254nm波长照射后发生解交联,利用DSC对照射前后进行扫描。

图2 光照前后的红外谱图比较

按次序分别为AMAD/DER332、APAD/BDE、APAD/P6DE及APAD/P10DE,黑色线为光照前,红色线为光照后。
图3 解交联与再交联过程的监控

由于光可逆环加成的作用,使得交联网络中的共轭结构发生变化,为更好观察该过程,利用紫外对特定波长进行检测。(a)为解交联过程,以254nm波长照射;(b)为再交联过程,以365nm波长照射,从上往下分别为AMAD/DER332、APAD/BDE、APAD/P6DE及APAD/P10DE。
图4 光照后网络结构完整性的表征

将聚合物置于DMF溶液中,并进行光照使其溶解,以固体质量变化百分比与溶液的GPC对网络结构的完整性及溶解进行评价。条形图按次序为AMAD/DER332、APAD/BDE、APAD/P6DE及APAD/P10DE。GPC左图为光照前,右图为光照后。由于存在未固化或部分反应而形成预聚物仍然可溶,因此该评价方式存在一定的系统误差。
表2 聚合物在不同状态下的维氏硬度(Vickers hardness)

图5 自修复性能比较

以APAD/P10DE为例子,对同一区域进行多次的划伤/修复,第一次划伤的宽度为16μm,第二次为28μm。
总结与展望
通过引入光可逆环加成作用,使商用环氧树脂得到光修复性质。由于该二聚作用处在交联点,因此聚合物可由硬变软甚至可流动,当损伤处被再次填充时又可重新形成交联网络,修复效果好,该自修复过程得到验证。此外,较高的硬度与玻璃化转变温度使该聚合物可用于商用涂料。目前正在进行进一步的工作,以确定在多大程度上可以实现这一概念,使聚合物网络具有更大的潜在性能和进一步的可能应用。